Официальное опубликование правовых актов
ОФИЦИАЛЬНОЕ ОПУБЛИКОВАНИЕ
Постановление администрации Тамбовской области от 09.09.2022 № 706
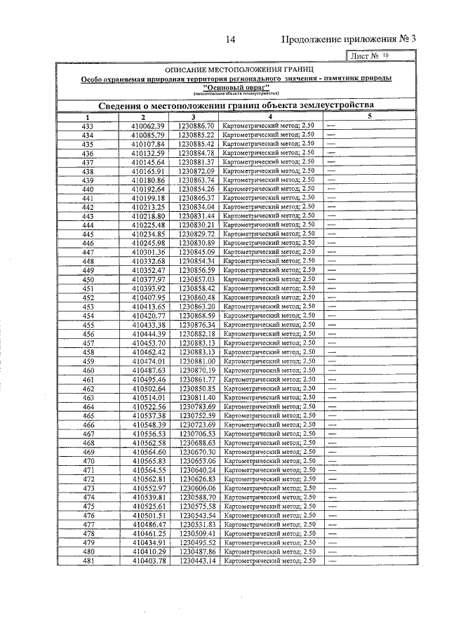
"О внесении изменений в постановление администрации области от 10.02.2014 № 122 " Об образовании особо охраняемых природных территорий регионального (областного) значения - памятники природы "Урляпов перелаз", "Урляпов вал", "Осиновый овраг", "Степь в имении Герцога Лейхтенберского", "Адамовы кусты", "Отрог", "Святое озеро Свято-Никольской Мамонтовой пустыни", а также уточнении границ памятника природы регионального значения "Верховья реки Цны"
Номер опубликования: 6800202209130002
Дата опубликования: 13.09.2022
Страница №29 из 85:
Увеличить