Официальное опубликование правовых актов
ОФИЦИАЛЬНОЕ ОПУБЛИКОВАНИЕ
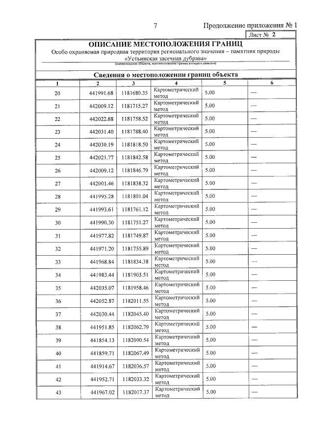
Постановление администрации Тамбовской области от 02.09.2022 № 701
"О внесении изменений в постановление администрации области от 17.05.2016 № 523 "Об образовании особо охраняемых природных территорий регионального (областного) значения - памятники природы "Устьинская засечная дубрава", "Лесной массив "Савинка", "Высокопродуктивные культурные ели"
Номер опубликования: 6800202209050009
Дата опубликования: 05.09.2022
Страница №8 из 34:
Увеличить