Официальное опубликование правовых актов
ОФИЦИАЛЬНОЕ ОПУБЛИКОВАНИЕ
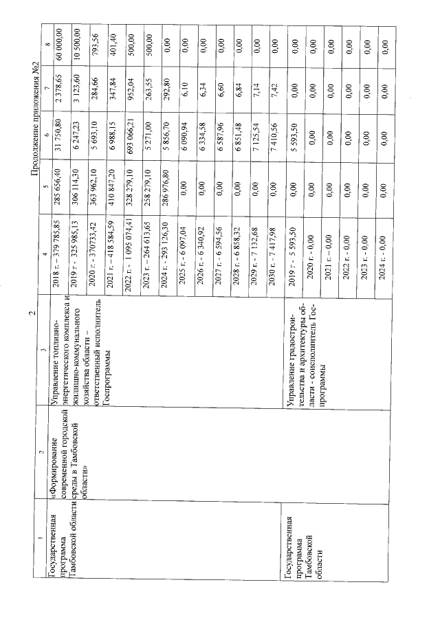
Постановление администрации Тамбовской области от 02.06.2022 № 439
"О внесении изменений в государственную программу Тамбовской области "Формирование современной городской среды в Тамбовской области"
Номер опубликования: 6800202206080002
Дата опубликования: 08.06.2022
Страница №16 из 45:
Увеличить