Официальное опубликование правовых актов
ОФИЦИАЛЬНОЕ ОПУБЛИКОВАНИЕ
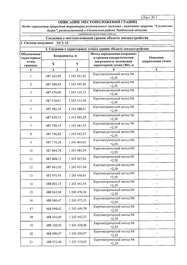
Постановление администрации Тамбовской области от 05.05.2022 № 365
"Об утверждении положений о памятниках природы регионального значения"
Номер опубликования: 6800202205110001
Дата опубликования: 11.05.2022
Страница №157 из 232:
Увеличить