Официальное опубликование правовых актов
ОФИЦИАЛЬНОЕ ОПУБЛИКОВАНИЕ
Закон Тамбовской области от 02.03.2022 № 64-З
"О внесении изменений в Закон Тамбовской области "Об установлении границ муниципальных образований Тамбовского района Тамбовской области и определении места нахождения их представительных органов и о признании утратившими силу отдельных положений некоторых законодательных актов Тамбовской области"
Номер опубликования: 6800202203030020
Дата опубликования: 03.03.2022
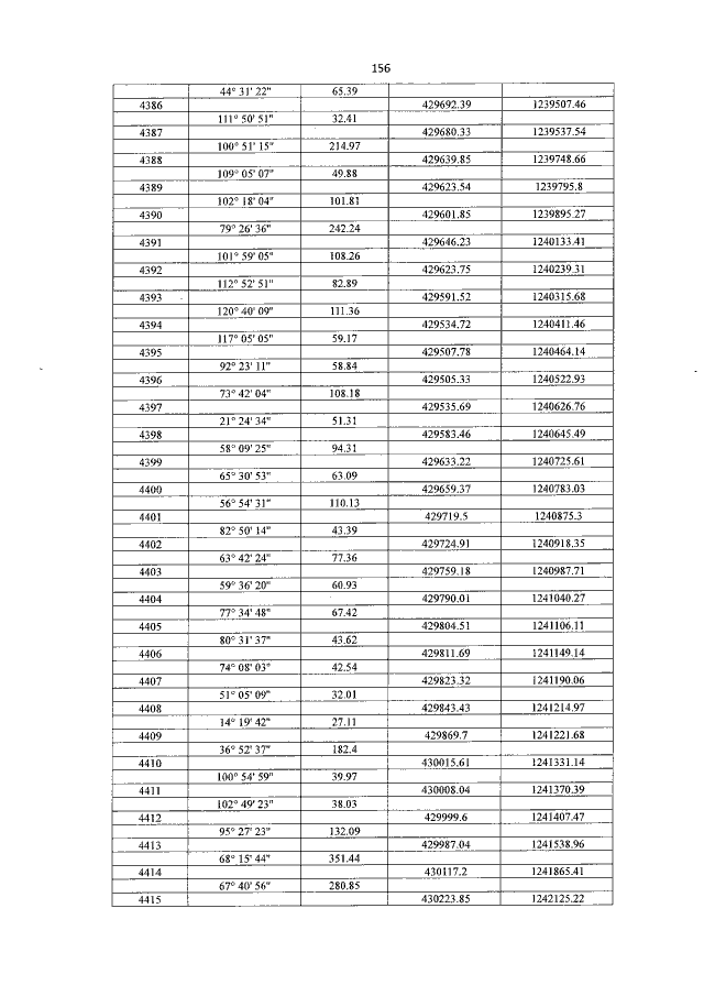
Страница №156 из 185:
Увеличить