Официальное опубликование правовых актов
ОФИЦИАЛЬНОЕ ОПУБЛИКОВАНИЕ
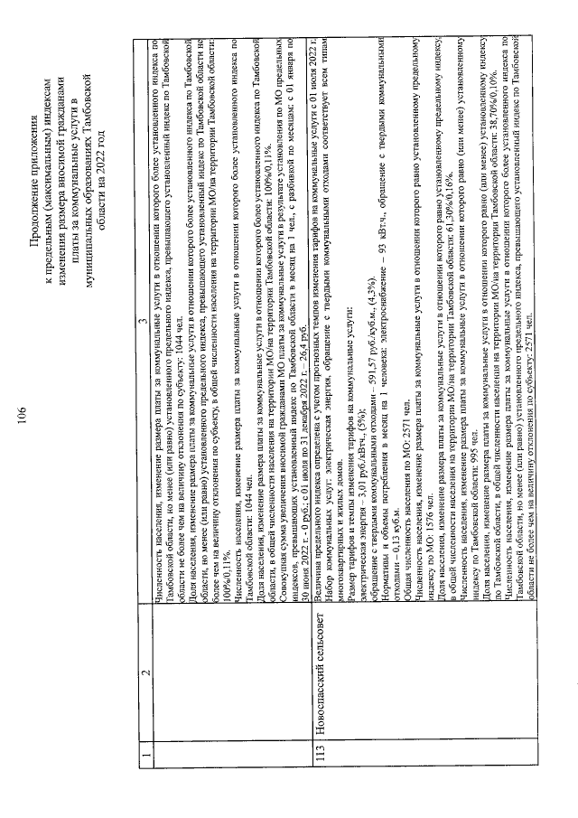
Постановление Главы администрации Тамбовской области от 10.12.2021 № 212
"Об утверждении предельных (максимальных) индексов изменения размера вносимой гражданами платы за коммунальные услуги в муниципальных образованиях Тамбовской области на 2022 год"
Номер опубликования: 6800202112130005
Дата опубликования: 13.12.2021
Страница №117 из 248:
Увеличить