Официальное опубликование правовых актов
ОФИЦИАЛЬНОЕ ОПУБЛИКОВАНИЕ
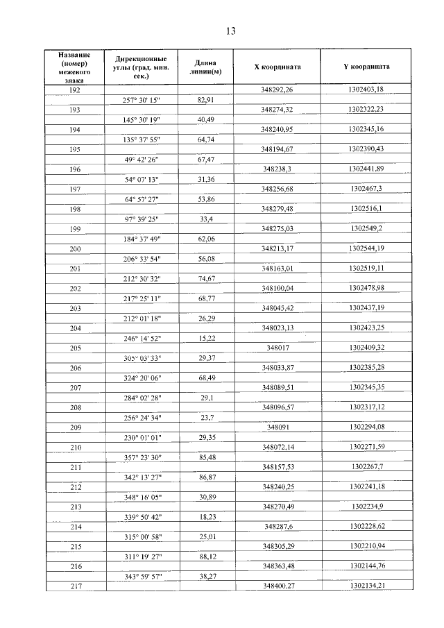
Закон Тамбовской области от 01.11.2021 № 7-З
"О внесении изменения в Закон Тамбовской области "Об установлении границ муниципального образования город Уварово Тамбовской области и определении места нахождения его представительного органа и о признании утратившими силу отдельных положений некоторых законодательных актов Тамбовской области"
Номер опубликования: 6800202111030007
Дата опубликования: 03.11.2021
Страница №13 из 29:
Увеличить