Официальное опубликование правовых актов
ОФИЦИАЛЬНОЕ ОПУБЛИКОВАНИЕ
Постановление администрации Тамбовской области от 20.10.2021 № 785
"Об утверждении положений о памятниках природы регионального значения"
Номер опубликования: 6800202110260005
Дата опубликования: 26.10.2021
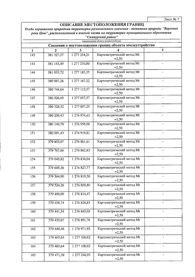
Страница №519 из 534:
Увеличить