Официальное опубликование правовых актов
ОФИЦИАЛЬНОЕ ОПУБЛИКОВАНИЕ
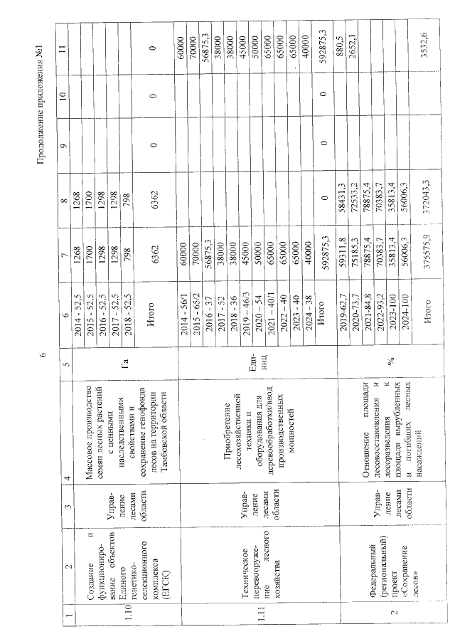
Постановление администрации Тамбовской области от 16.03.2021 № 164
"О внесении изменений в Государственную программу "Развитие лесного хозяйства Тамбовской области"
Номер опубликования: 6800202103190003
Дата опубликования: 19.03.2021
Страница №11 из 21:
Увеличить