Официальное опубликование правовых актов
ОФИЦИАЛЬНОЕ ОПУБЛИКОВАНИЕ
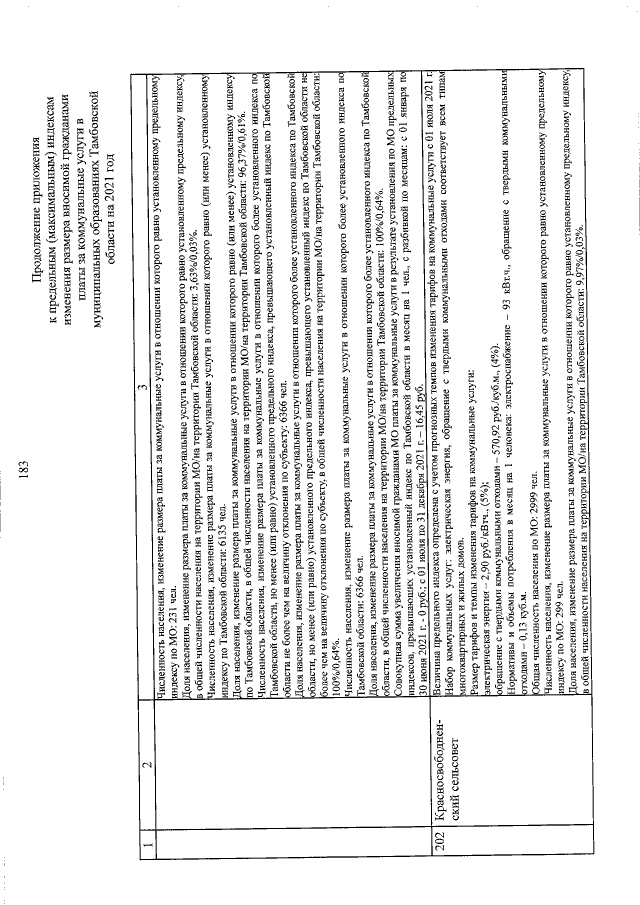
Постановление Главы администрации Тамбовской области от 09.12.2020 № 238
"Об утверждении предельных (максимальных) индексов изменения размера вносимой гражданами платы за коммунальные услуги в муниципальных образованиях Тамбовской области на 2021 год"
Номер опубликования: 6800202012100008
Дата опубликования: 10.12.2020
Страница №194 из 240:
Увеличить