Официальное опубликование правовых актов
ОФИЦИАЛЬНОЕ ОПУБЛИКОВАНИЕ
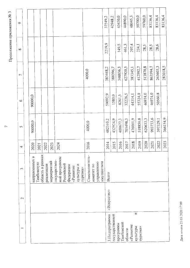
Постановление администрации Тамбовской области от 17.07.2020 № 569
"О внесении изменений в государственную программу Тамбовской области "Развитие культуры и туризма"
Номер опубликования: 6800202007170008
Дата опубликования: 17.07.2020
Страница №79 из 175:
Увеличить