Официальное опубликование правовых актов
ОФИЦИАЛЬНОЕ ОПУБЛИКОВАНИЕ
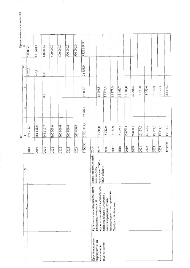
Постановление администрации Тамбовской области от 02.04.2020 № 261
"О внесении изменений в Государственную программу Тамбовской области "Обеспечение доступным и комфортным жильем и коммунальными услугами населения области"
Номер опубликования: 6800202004030001
Дата опубликования: 03.04.2020
Страница №101 из 188:
Увеличить