Официальное опубликование правовых актов
ОФИЦИАЛЬНОЕ ОПУБЛИКОВАНИЕ
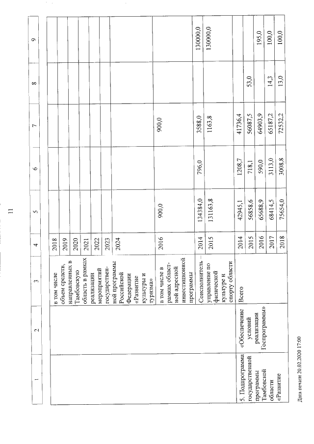
Постановление администрации Тамбовской области от 03.03.2020 № 167
"О внесении изменений в государственную программу Тамбовской области "Развитие культуры и туризма"
Номер опубликования: 6800202003060001
Дата опубликования: 06.03.2020
Страница №22 из 24:
Увеличить