Официальное опубликование правовых актов
ОФИЦИАЛЬНОЕ ОПУБЛИКОВАНИЕ
Постановление Главы администрации Тамбовской области от 03.06.2019 № 77
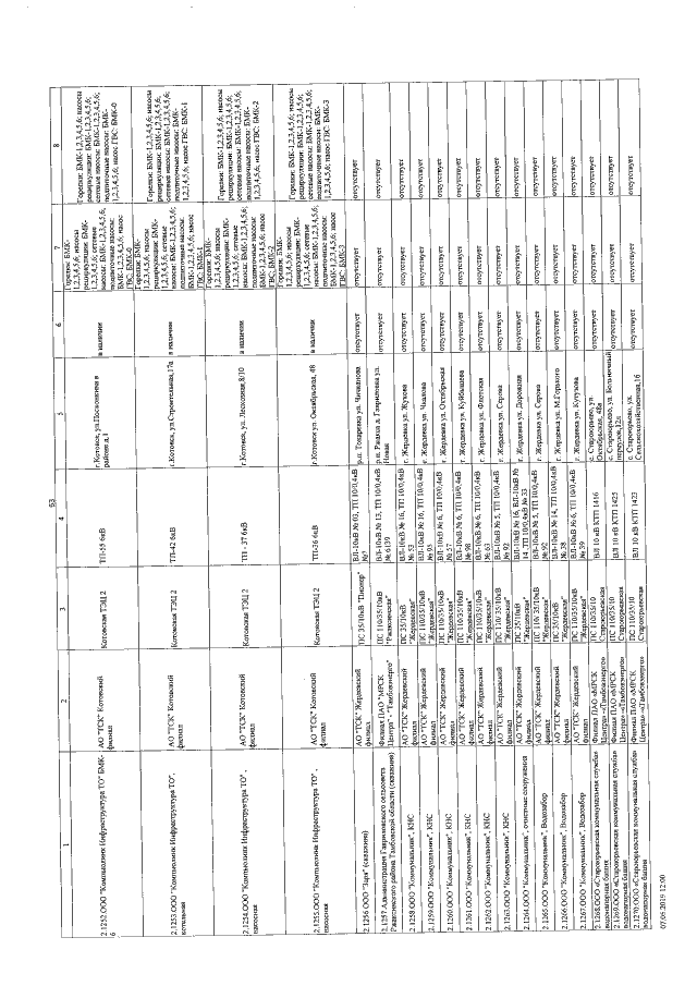
"Об утверждении Перечня потребителей, относящихся к категории потребителей электрической энергии (мощности), ограничение режима потребления электрической энергии которых может привести к экономическим, экологическим, социальным последствиям"
Номер опубликования: 6800201906050001
Дата опубликования: 05.06.2019
Страница №65 из 71:
Увеличить