Официальное опубликование правовых актов
ОФИЦИАЛЬНОЕ ОПУБЛИКОВАНИЕ
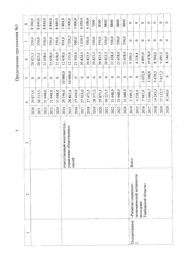
Постановление администрации Тамбовской области от 27.05.2019 № 599
"О внесении изменений в государственную программу Тамбовской области "Развитие институтов гражданского общества"
Номер опубликования: 6800201905290001
Дата опубликования: 29.05.2019
Страница №64 из 74:
Увеличить