Официальное опубликование правовых актов
ОФИЦИАЛЬНОЕ ОПУБЛИКОВАНИЕ
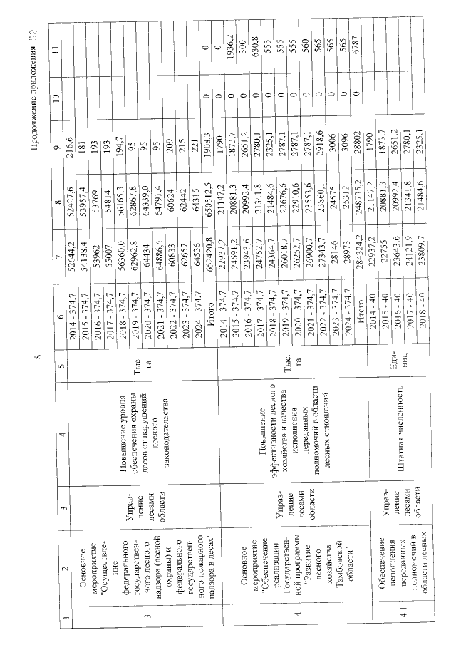
Постановление администрации Тамбовской области от 20.05.2019 № 548
"О внесении изменений в Государственную программу "Развитие лесного хозяйства Тамбовской области"
Номер опубликования: 6800201905220001
Дата опубликования: 22.05.2019
Страница №19 из 26:
Увеличить