Официальное опубликование правовых актов
ОФИЦИАЛЬНОЕ ОПУБЛИКОВАНИЕ
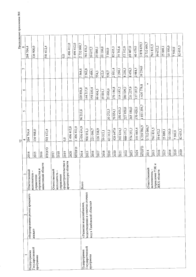
Постановление администрации Тамбовской области от 27.02.2019 № 193
"О внесении изменений в Государственную программу Тамбовской области "Обеспечение доступным и комфортным жильем и коммунальными услугами населения области"
Номер опубликования: 6800201903010003
Дата опубликования: 01.03.2019
Страница №102 из 188:
Увеличить