Официальное опубликование правовых актов
ОФИЦИАЛЬНОЕ ОПУБЛИКОВАНИЕ
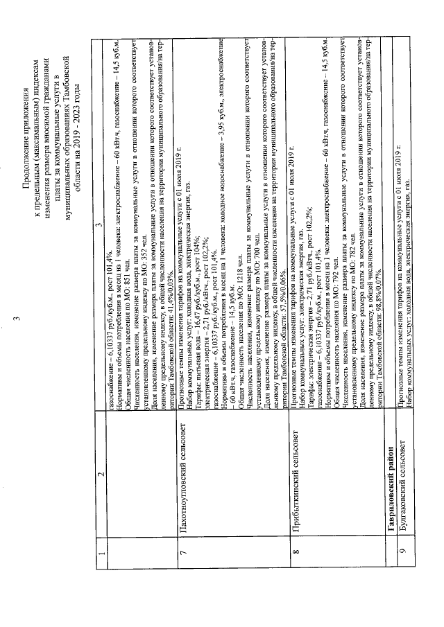
Постановление Главы администрации Тамбовской области от 13.12.2018 № 349
"Об утверждении предельных (максимальных) индексов изменения размера вносимой гражданами платы за коммунальные услуги в муниципальных образованиях Тамбовской области на 2019 - 2023 годы"
Номер опубликования: 6800201812170001
Дата опубликования: 17.12.2018
Страница №15 из 104:
Увеличить