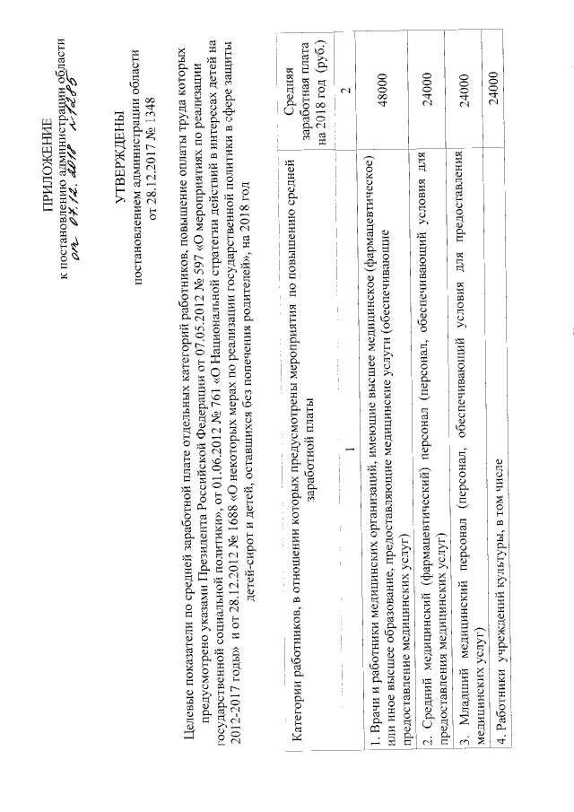
Постановление администрации Тамбовской области от 07.12.2018 № 1285
"О внесении изменений в приложение к постановлению администрации области от 28.12.2017 № 1348 "Об утверждении целевых показателей по средней заработной плате отдельных категорий работников, определенных указами Президента Российской Федерации, на 2018 год"
"О внесении изменений в приложение к постановлению администрации области от 28.12.2017 № 1348 "Об утверждении целевых показателей по средней заработной плате отдельных категорий работников, определенных указами Президента Российской Федерации, на 2018 год"
Номер опубликования: 6800201812120003
Дата опубликования:
12.12.2018
