Официальное опубликование правовых актов
ОФИЦИАЛЬНОЕ ОПУБЛИКОВАНИЕ
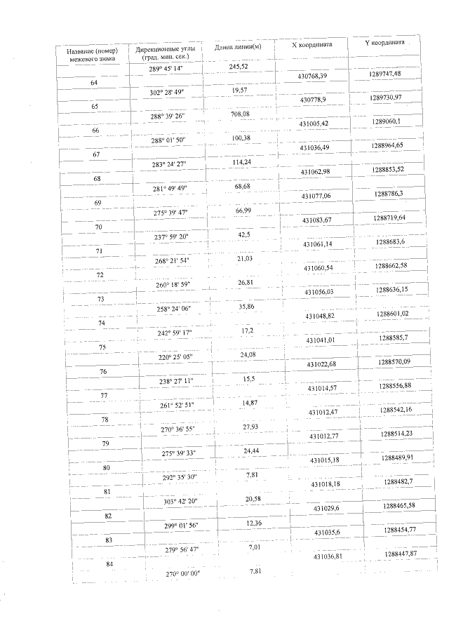
Закон Тамбовской области от 30.11.2018 № 294-З
"Об установлении границ муниципальных образований Рассказовского района Тамбовской области и определении места нахождения их представительных органов и о признании утратившими силу отдельных положений некоторых законодательных актов Тамбовской области"
Номер опубликования: 6800201812040002
Дата опубликования: 04.12.2018
Страница №182 из 502:
Увеличить