Официальное опубликование правовых актов
ОФИЦИАЛЬНОЕ ОПУБЛИКОВАНИЕ
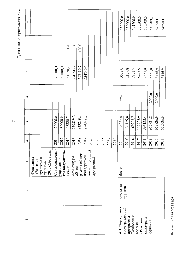
Постановление администрации Тамбовской области от 16.10.2018 № 1045
"О внесении изменений в постановление администрации области от 20.06.2013 № 642 "Об утверждении государственной программы Тамбовской области "Развитие культуры и туризма" на 2014-2020 годы"
Номер опубликования: 6800201810180001
Дата опубликования: 18.10.2018
Страница №92 из 95:
Увеличить