Официальное опубликование правовых актов
ОФИЦИАЛЬНОЕ ОПУБЛИКОВАНИЕ
Постановление администрации Тамбовской области от 14.09.2018 № 935
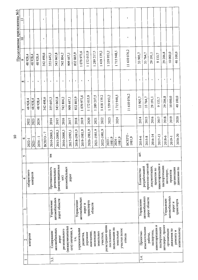
"О внесении изменений в постановление администрации области от 20.06.2013 № 640 "Об утверждении государственной программы "Развитие транспортной системы и дорожного хозяйства Тамбовской области" на 2014 - 2020 годы"
Номер опубликования: 6800201809190002
Дата опубликования: 19.09.2018
Страница №40 из 125:
Увеличить