Официальное опубликование правовых актов
ОФИЦИАЛЬНОЕ ОПУБЛИКОВАНИЕ
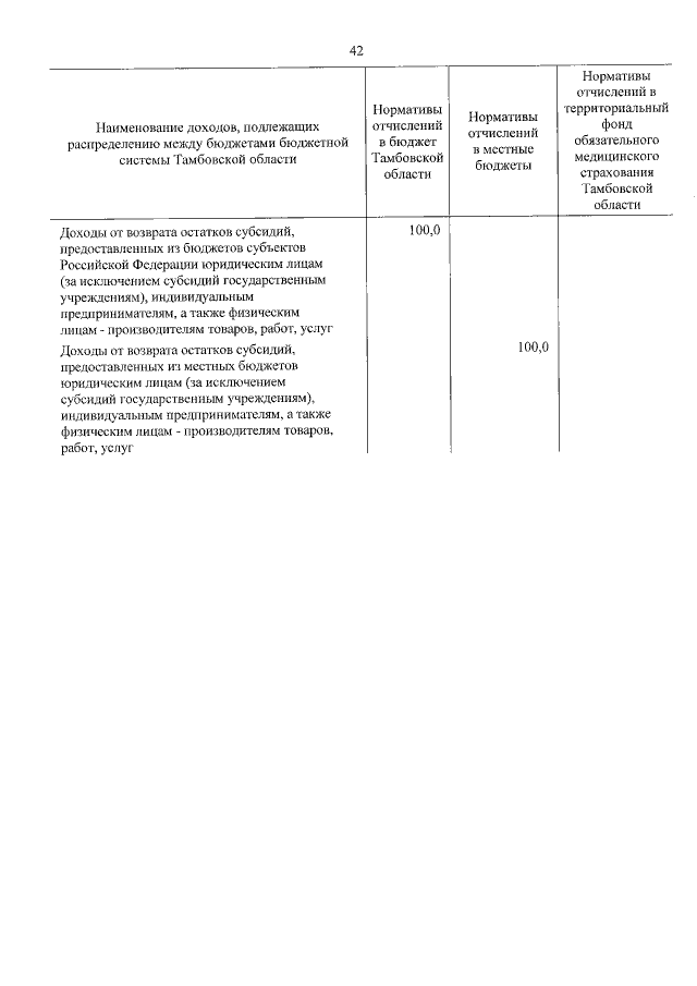
Закон Тамбовской области от 21.12.2017 № 187 - З
"О бюджете Тамбовской области на 2018 год и на плановый период 2019 и 2020 годов"
Номер опубликования: 6800201712250002
Дата опубликования: 25.12.2017
Страница №42 из 626:
Увеличить