Официальное опубликование правовых актов
ОФИЦИАЛЬНОЕ ОПУБЛИКОВАНИЕ
Постановление Главы администрации Тамбовской области от 28.11.2017 № 152
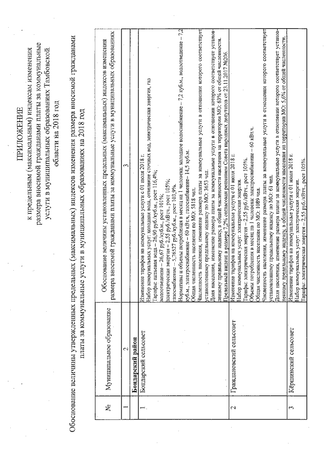
"Об утверждении предельных (максимальных) индексов изменения размера вносимой гражданами платы за коммунальные услуги в муниципальных образованиях Тамбовской области на 2018 год"
Номер опубликования: 6800201711300005
Дата опубликования: 30.11.2017
Страница №13 из 76:
Увеличить