Официальное опубликование правовых актов
ОФИЦИАЛЬНОЕ ОПУБЛИКОВАНИЕ
Закон Тамбовской области от 02.11.2017 № 157 - З
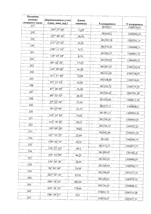
"Об установлении границ муниципальных образований Ржаксинского района Тамбовской области и определении места нахождения их представительных органов и о признании утратившими силу отдельных положений некоторых законодательных актов Тамбовской области"
Номер опубликования: 6800201711070001
Дата опубликования: 07.11.2017
Страница №336 из 436:
Увеличить