Официальное опубликование правовых актов
ОФИЦИАЛЬНОЕ ОПУБЛИКОВАНИЕ
Постановление администрации Тамбовской области от 03.02.2017 № 89
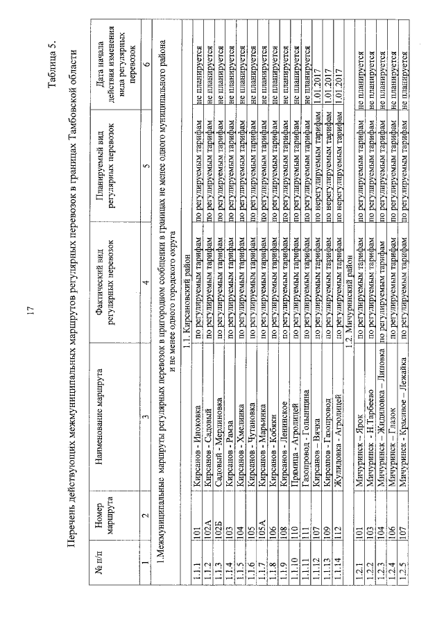
"Об утверждении документа планирования регулярных перевозок пассажиров и багажа автомобильным транспортом по межмуниципальным маршрутам регулярных перевозок в границах Тамбовской области до 2021 года"
Номер опубликования: 6800201702080001
Дата опубликования: 08.02.2017
Страница №18 из 30:
Увеличить