Официальное опубликование правовых актов
ОФИЦИАЛЬНОЕ ОПУБЛИКОВАНИЕ
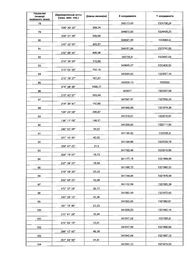
Закон Тамбовской области от 23.12.2016 № 51 - З
"Об установлении границ муниципальных образований Мучкапского района Тамбовской области и определении места нахождения их представительных органов и о признании утратившими силу отдельных положений некоторых законодательных актов Тамбовской области"
Номер опубликования: 6800201612300011
Дата опубликования: 30.12.2016
Страница №190 из 370:
Увеличить