Постановление Главы администрации Тамбовской области от 30.11.2016 № 208
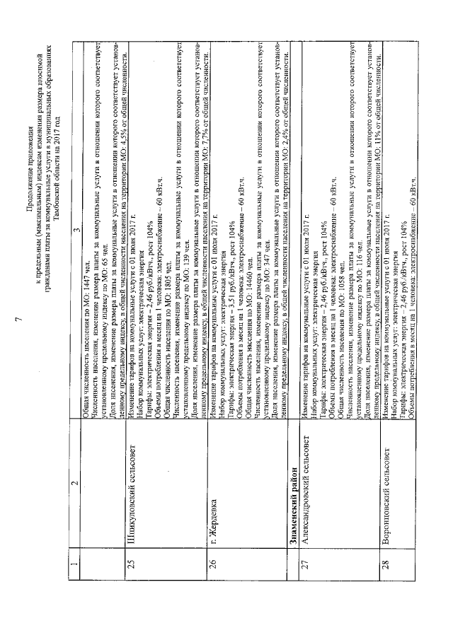
"Об утверждении предельных (максимальных) индексов изменения размера вносимой гражданами платы за коммунальные услуги в муниципальных образованиях Тамбовской области на 2017 год"
"Об утверждении предельных (максимальных) индексов изменения размера вносимой гражданами платы за коммунальные услуги в муниципальных образованиях Тамбовской области на 2017 год"
Номер опубликования: 6800201611300001
Дата опубликования:
30.11.2016
