Официальное опубликование правовых актов
ОФИЦИАЛЬНОЕ ОПУБЛИКОВАНИЕ
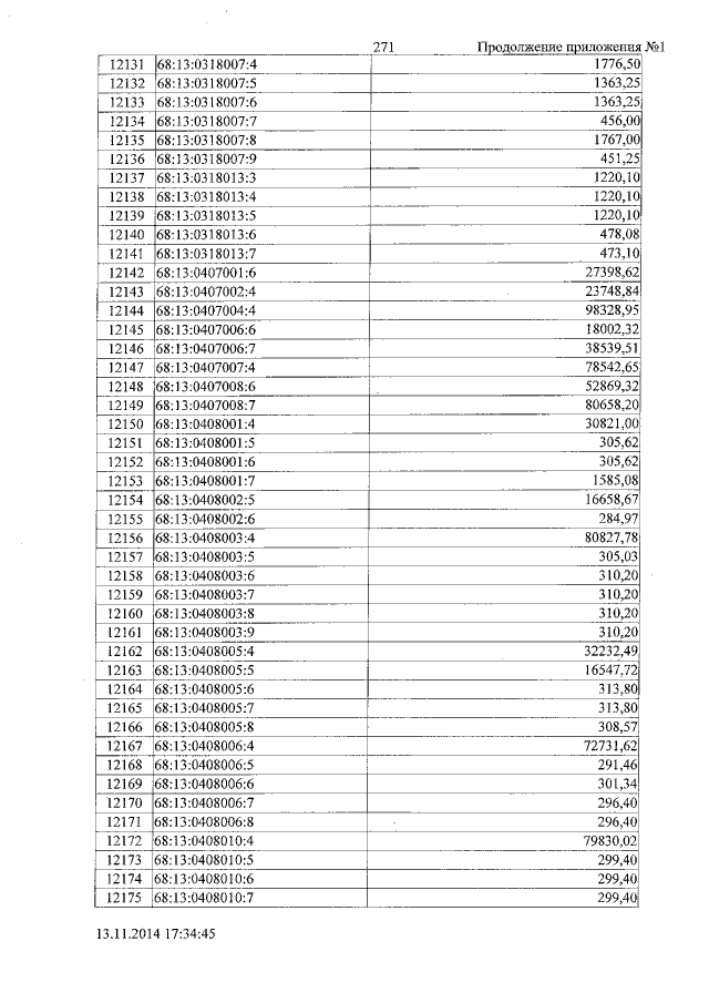
Постановление администрации Тамбовской области от 21.11.2014 № 1443
"Об утверждении результатов государственной кадастровой оценки земель промышленности, энергетики, транспорта, связи, радиовещания, телевидения, информатики, земель для обеспечения космической деятельности, земель обороны, безопасности и земель иного специального назначения на территории Тамбовской области"
Номер опубликования: 6800201411240007
Дата опубликования: 24.11.2014
Страница №273 из 485:
Увеличить