Официальное опубликование правовых актов
ОФИЦИАЛЬНОЕ ОПУБЛИКОВАНИЕ
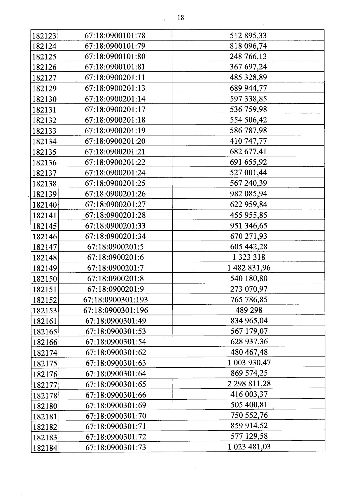
Приказ Министерства имущественных и земельных отношений Смоленской области от 24.11.2025 № 1339
"О внесении изменений в приказ министра имущественных и земельных отношений Смоленской области от 03.11.2023 № 62"
(Зарегистрирован 26.11.2025 № 798/33-пр)
Номер опубликования: 6701202511280001
Дата опубликования: 28.11.2025
Страница №18 из 22:
Увеличить