Официальное опубликование правовых актов
ОФИЦИАЛЬНОЕ ОПУБЛИКОВАНИЕ
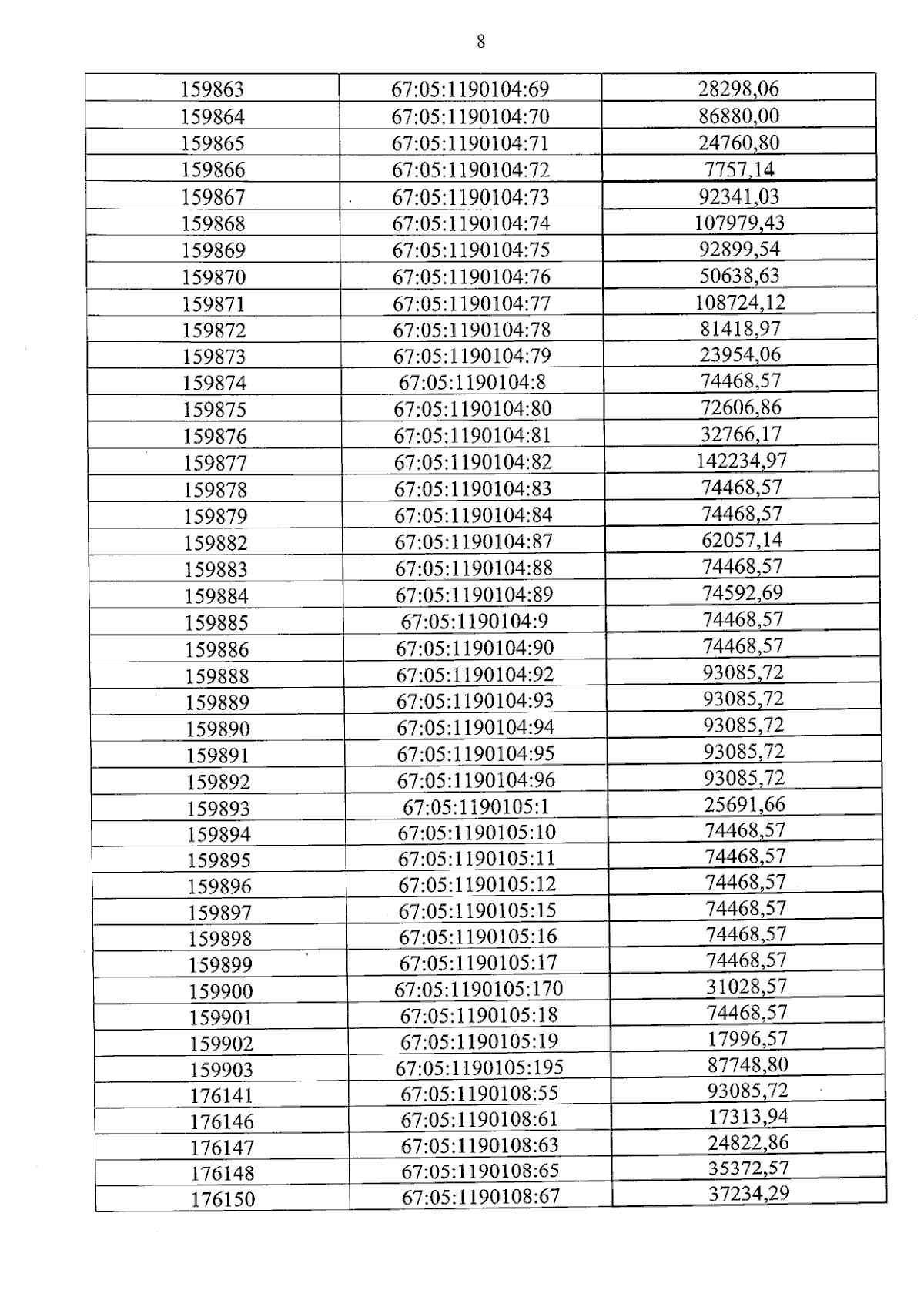
Приказ Министерства имущественных и земельных отношений Смоленской области от 24.12.2024 № 1371
"О внесении изменений в приказ начальника Департамента имущественных и земельных отношений Смоленской области от 07.11.2022 № 1083"
(Зарегистрирован 25.12.2024 № 387/33-пр)
Номер опубликования: 6701202412270001
Дата опубликования: 27.12.2024
Страница №8 из 33:
Увеличить