Официальное опубликование правовых актов
ОФИЦИАЛЬНОЕ ОПУБЛИКОВАНИЕ
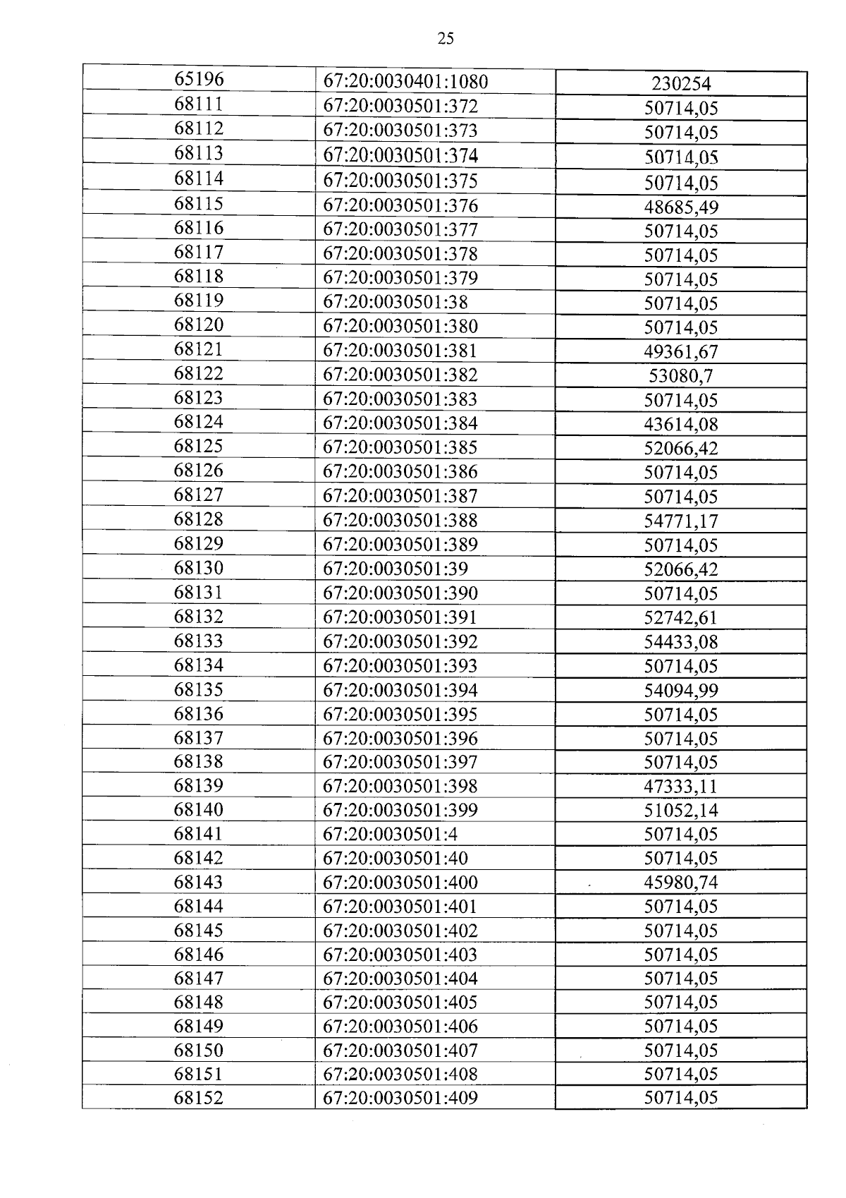
Приказ Министерства имущественных и земельных отношений Смоленской области от 12.04.2024 № 356
"О внесении изменений в приказ начальника Департамента имущественных и земельных отношений Смоленской области от 07.11.2022 № 1083"
(Зарегистрирован 15.04.2024 № 50/33-пр)
Номер опубликования: 6701202404170001
Дата опубликования: 17.04.2024
Страница №25 из 31:
Увеличить