Официальное опубликование правовых актов
ОФИЦИАЛЬНОЕ ОПУБЛИКОВАНИЕ
Приказ Департамента имущественных и земельных отношений Смоленской области от 05.04.2023 № 284
"О внесении изменений в приказ и.о. начальника Департамента имущественных и земельных отношений Смоленской области от 07.11.2022 № 1083"
(Зарегистрирован 07.04.2023 № 20/33-пр)
Номер опубликования: 6701202304100001
Дата опубликования: 10.04.2023
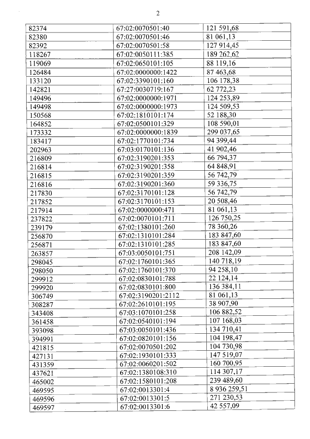
Страница №2 из 3:
Увеличить