Официальное опубликование правовых актов
ОФИЦИАЛЬНОЕ ОПУБЛИКОВАНИЕ
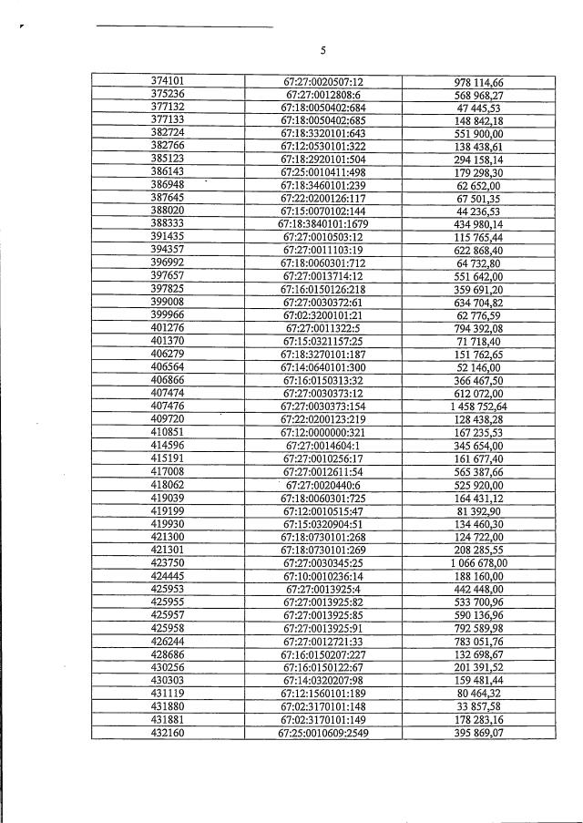
Приказ Департамента имущественных и земельных отношений Смоленской области от 29.11.2022 № 1186
"О внесении изменений в приказ начальника Департамента имущественных и земельных отношений Смоленской области от 16.11.2020 № 1341"
Номер опубликования: 6701202212010001
Дата опубликования: 01.12.2022
Страница №5 из 6:
Увеличить