Официальное опубликование правовых актов
ОФИЦИАЛЬНОЕ ОПУБЛИКОВАНИЕ
Постановление Правительства Смоленской области от 12.11.2025 № 676
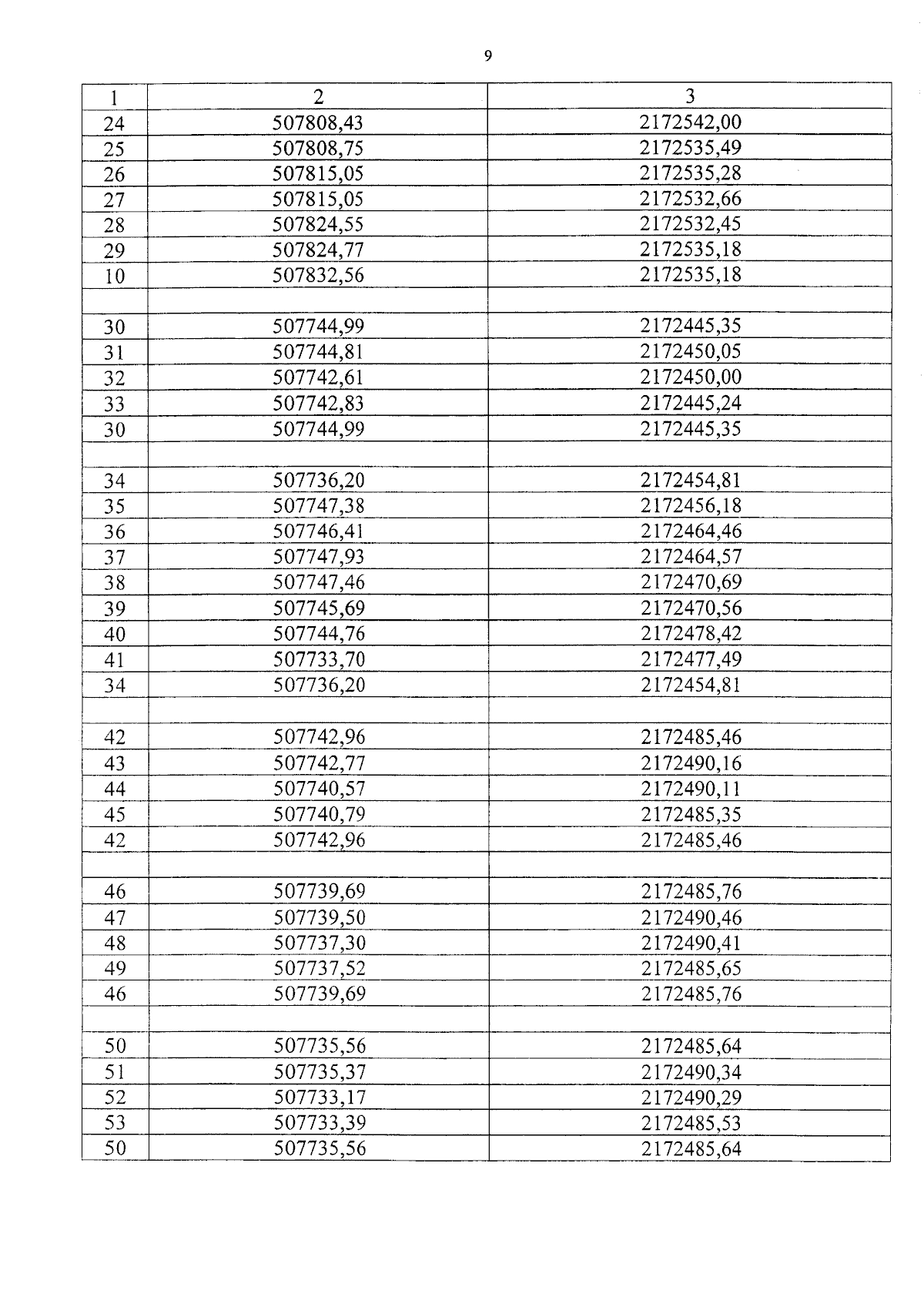
"Об установлении зон охраны объекта культурного наследия (памятника истории и культуры) народов Российской Федерации федерального значения "Церковь Екатерины", 1791 г., расположенного по адресу (местонахождение): Смоленская область, Вяземский район, г. Вязьма, ул. Докучаева, и утверждении требований к градостроительным регламентам в границах территорий данных зон"
Номер опубликования: 6700202511140016
Дата опубликования: 14.11.2025
Страница №9 из 12:
Увеличить