Официальное опубликование правовых актов
ОФИЦИАЛЬНОЕ ОПУБЛИКОВАНИЕ
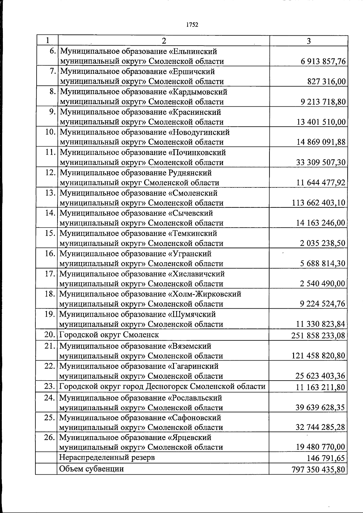
Закон Смоленской области от 30.10.2025 № 124-з
"О внесении изменений в областной закон "Об областном бюджете на 2025 год и на плановый период 2026 и 2027 годов"
Номер опубликования: 6700202510300029
Дата опубликования: 30.10.2025
Страница №1752 из 1764:
Увеличить