Официальное опубликование правовых актов
ОФИЦИАЛЬНОЕ ОПУБЛИКОВАНИЕ
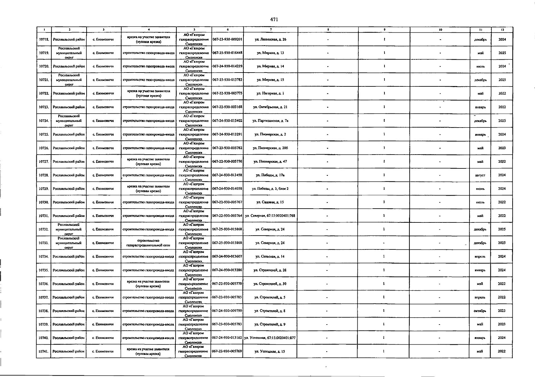
Указ Губернатора Смоленской области от 23.09.2025 № 104
"О внесении изменений в Региональную программу газификации жилищно-коммунального хозяйства, промышленных и иных организаций, расположенных на территории Смоленской области, на 2021 - 2030 годы"
Номер опубликования: 6700202510010005
Дата опубликования: 01.10.2025
Страница №471 из 806:
Увеличить