Официальное опубликование правовых актов
ОФИЦИАЛЬНОЕ ОПУБЛИКОВАНИЕ
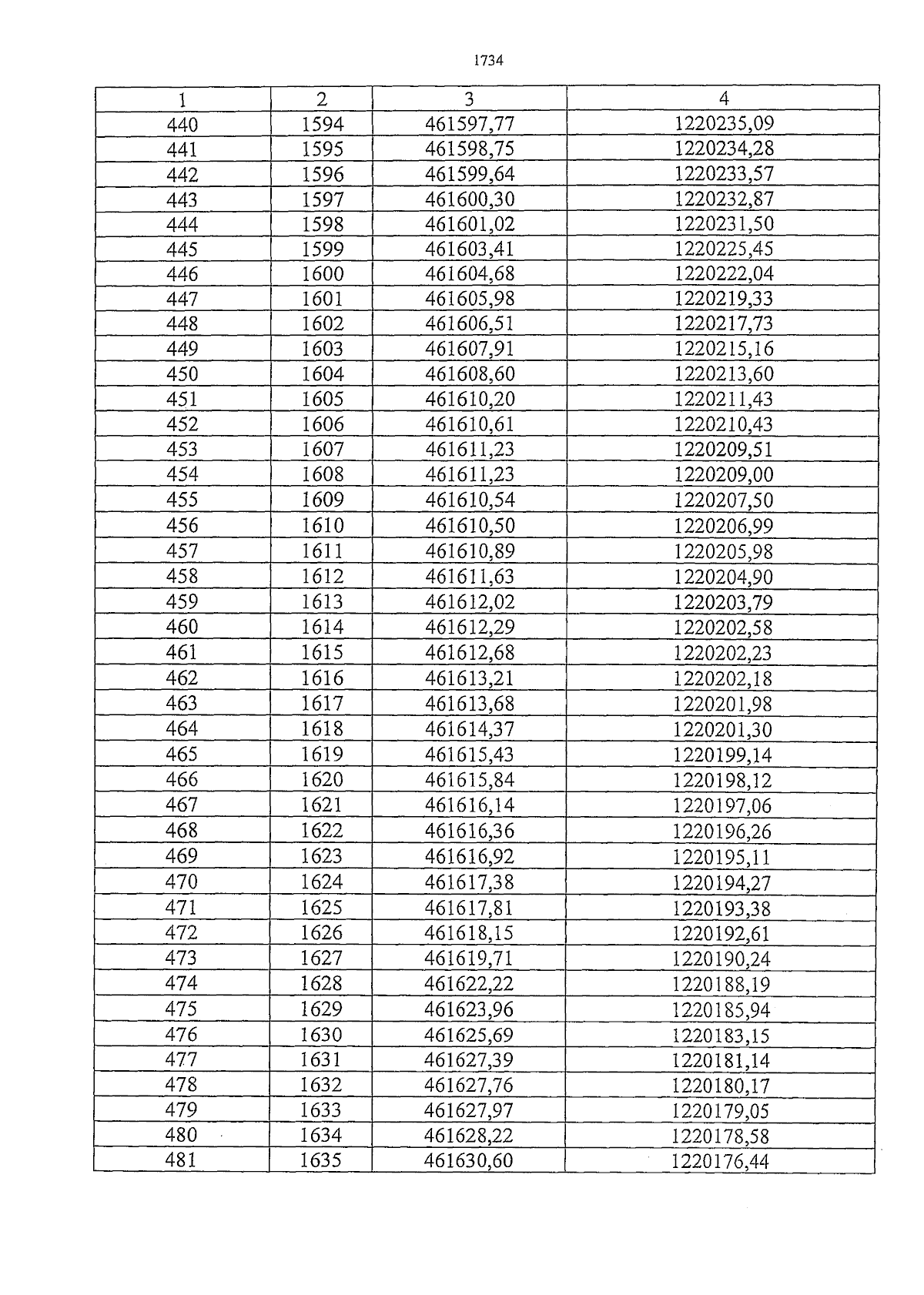
Постановление Правительства Смоленской области от 30.07.2025 № 472
"Об установлении единой охранной зоны, единой зоны регулирования застройки и хозяйственной деятельности и единой зоны охраняемого природного ландшафта объектов культурного наследия (памятников истории и культуры) народов Российской Федерации, расположенных на территории города Смоленска, и утверждении требований к градостроительным регламентам в границах территорий данных зон"
Номер опубликования: 6700202508060001
Дата опубликования: 06.08.2025
Страница №1734 из 1818:
Увеличить