Официальное опубликование правовых актов
ОФИЦИАЛЬНОЕ ОПУБЛИКОВАНИЕ
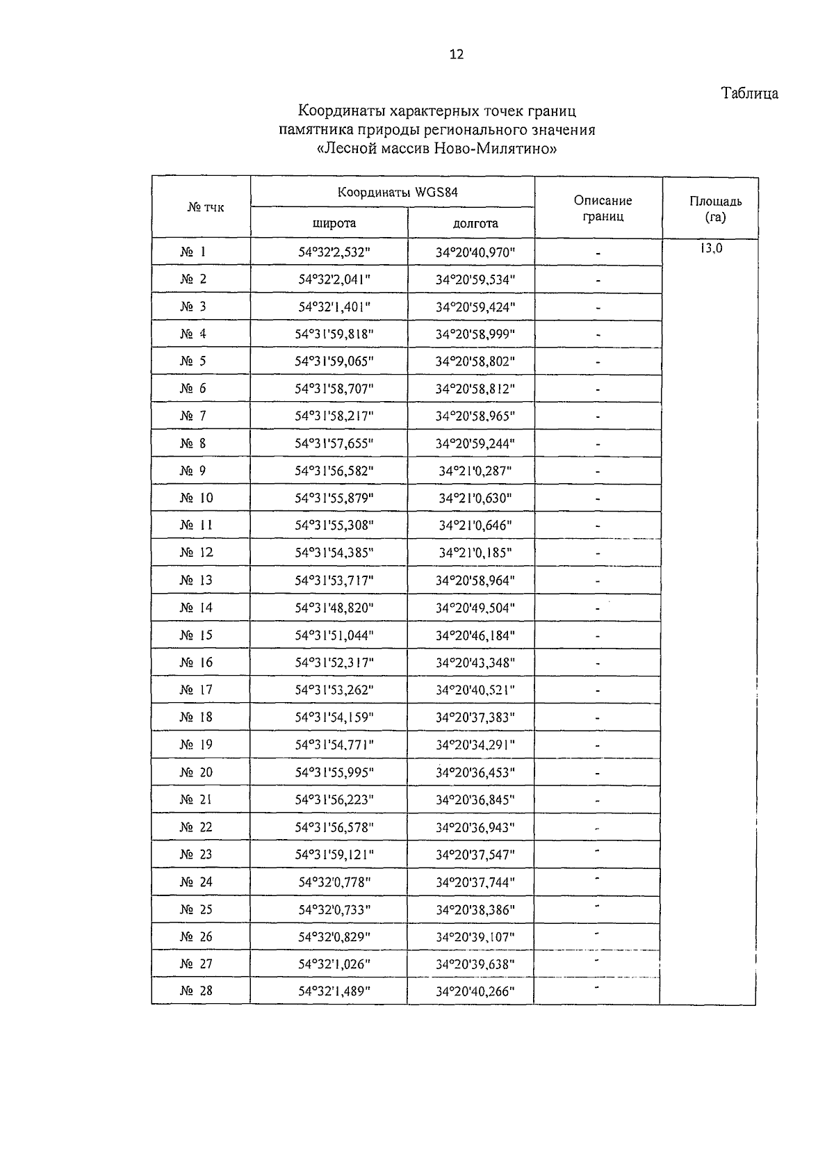
Постановление Правительства Смоленской области от 30.06.2025 № 384
"Об утверждении границ памятника природы регионального значения "Лесной массив Ново-Милятино", Положения о памятнике природы регионального значения "Лесной массив Ново-Милятино" и паспорта памятника природы регионального значения "Лесной массив Ново-Милятино"
Номер опубликования: 6700202507010007
Дата опубликования: 01.07.2025
Страница №12 из 13:
Увеличить