Официальное опубликование правовых актов
ОФИЦИАЛЬНОЕ ОПУБЛИКОВАНИЕ
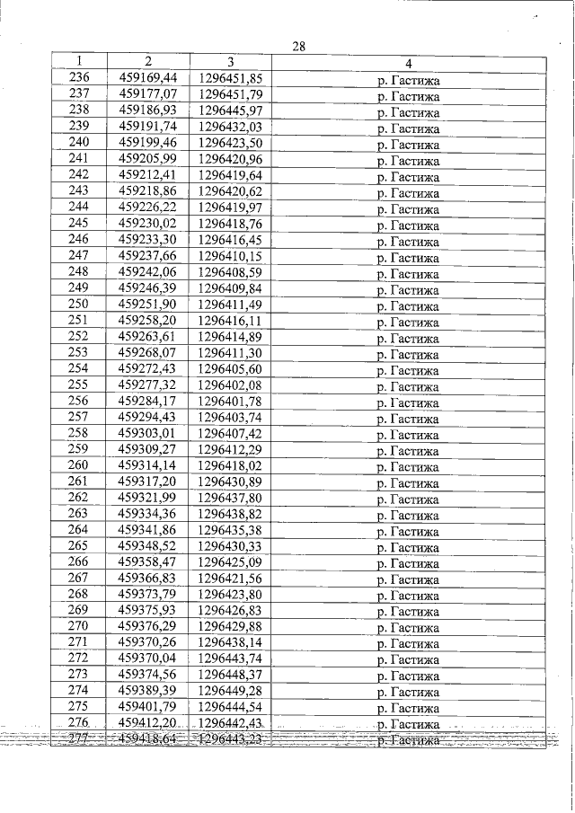
Закон Смоленской области от 25.05.2017 № 55-з
"О внесении изменений в областной закон "О наделении статусом муниципального района муниципального образования "Ельнинский район" Смоленской области, об установлении границ муниципальных образований, территории которых входят в его состав, и наделении их соответствующим статусом"
Номер опубликования: 6700201705250028
Дата опубликования: 25.05.2017
Страница №28 из 290:
Увеличить