Официальное опубликование правовых актов
ОФИЦИАЛЬНОЕ ОПУБЛИКОВАНИЕ
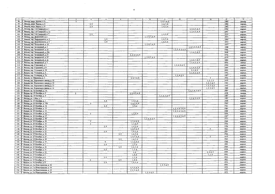
Постановление Администрации Смоленской области от 28.04.2017 № 282
"О внесении изменения в Региональную программу капитального ремонта общего имущества в многоквартирных домах, расположенных на территории Смоленской области, на 2014-2043 годы"
Номер опубликования: 6700201705040012
Дата опубликования: 04.05.2017
Страница №4 из 114:
Увеличить