Официальное опубликование правовых актов
ОФИЦИАЛЬНОЕ ОПУБЛИКОВАНИЕ
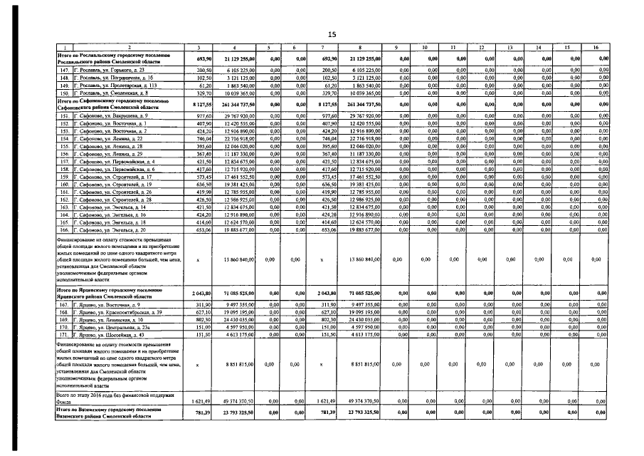
Постановление Администрации Смоленской области от 17.03.2017 № 144
"О внесении изменений в Региональную адресную программу по переселению граждан из аварийного жилищного фонда на 2013 - 2017 годы"
Номер опубликования: 6700201703220020
Дата опубликования: 22.03.2017
Страница №15 из 16:
Увеличить