Официальное опубликование правовых актов
ОФИЦИАЛЬНОЕ ОПУБЛИКОВАНИЕ
Постановление Администрации Смоленской области от 09.12.2016 № 722
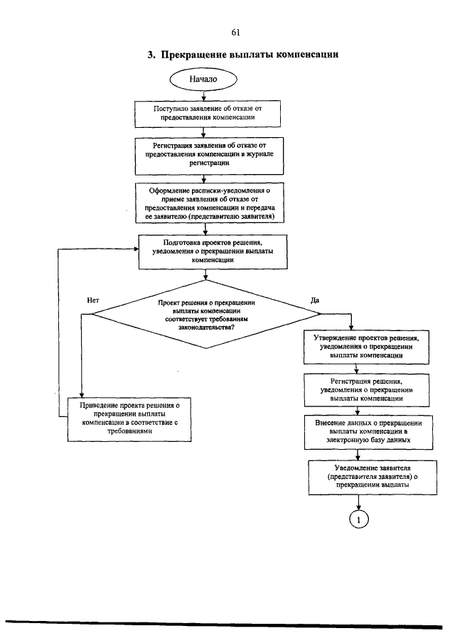
"Об утверждении Административного регламента предоставления Департаментом Смоленской области по социальному развитию государственной услуги "Предоставление инвалидам Великой Отечественной войны, инвалидам боевых действий, участникам Великой Отечественной войны, бывшим несовершеннолетним узникам концлагерей, гетто, других мест принудительного содержания, созданных фашистами и их союзниками в период Второй мировой войны, меры социальной поддержки в виде компенсации расходов на оплату потребленной электроэнергии, используемой для коммунально-бытовых нужд, на территории Смоленской области"
Номер опубликования: 6700201612130002
Дата опубликования: 13.12.2016
Страница №61 из 62:
Увеличить