Официальное опубликование правовых актов
ОФИЦИАЛЬНОЕ ОПУБЛИКОВАНИЕ
Постановление Администрации Смоленской области от 02.12.2016 № 711
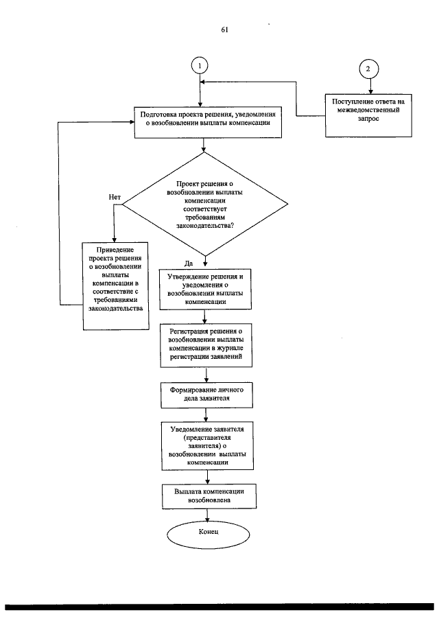
"Об утверждении Административного регламента предоставления Департаментом Смоленской области по социальному развитию государственной услуги "Предоставление отдельным категориям граждан меры социальной поддержки в виде компенсации расходов на уплату взноса на капитальный ремонт общего имущества в многоквартирном доме на территории Смоленской области"
Номер опубликования: 6700201612060006
Дата опубликования: 06.12.2016
Страница №61 из 62:
Увеличить