Официальное опубликование правовых актов
ОФИЦИАЛЬНОЕ ОПУБЛИКОВАНИЕ
Постановление Администрации Смоленской области от 21.09.2016 № 570
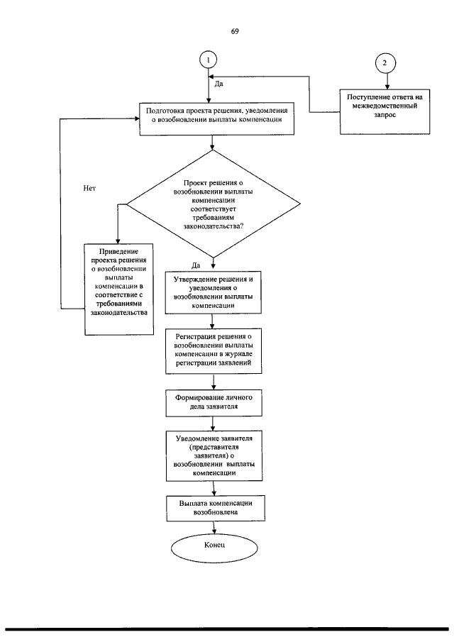
"Об утверждении Административного регламента предоставления Департаментом Смоленской области по социальному развитию государственной услуги "Предоставление ветеранам труда, ветеранам военной службы меры социальной поддержки в виде компенсации расходов на оплату жилых помещений и коммунальных услуг на территории Смоленской области"
Номер опубликования: 6700201609270005
Дата опубликования: 27.09.2016
Страница №69 из 70:
Увеличить