Официальное опубликование правовых актов
ОФИЦИАЛЬНОЕ ОПУБЛИКОВАНИЕ
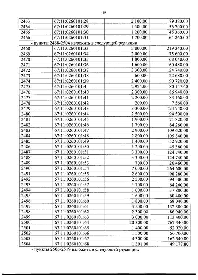
Постановление Администрации Смоленской области от 22.08.2016 № 495
"О внесении изменений в постановление Администрации Смоленской области от 16.01.2013 № 2"
Номер опубликования: 6700201608240017
Дата опубликования: 24.08.2016
Страница №49 из 93:
Увеличить