Официальное опубликование правовых актов
ОФИЦИАЛЬНОЕ ОПУБЛИКОВАНИЕ
Постановление Администрации Смоленской области от 29.06.2016 № 374
"О внесении изменений в областную государственную программу "Содействие занятости населения Смоленской области" на 2014-2020 годы"
Номер опубликования: 6700201607050002
Дата опубликования: 05.07.2016
Страница №10 из 11:
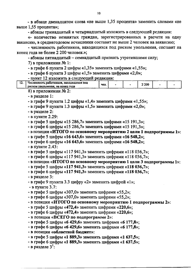
Увеличить