Официальное опубликование правовых актов
ОФИЦИАЛЬНОЕ ОПУБЛИКОВАНИЕ
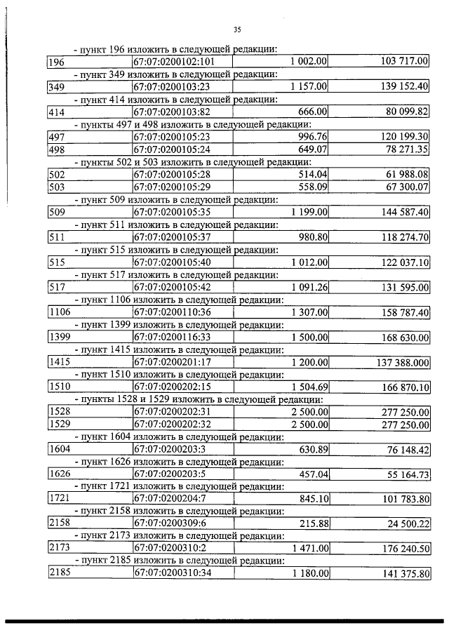
Постановление Администрации Смоленской области от 15.03.2016 № 152
"О внесении изменений в постановление Администрации Смоленской области от 16.01.2013 № 2"
Номер опубликования: 6700201603180009
Дата опубликования: 18.03.2016
Страница №35 из 189:
Увеличить