Официальное опубликование правовых актов
ОФИЦИАЛЬНОЕ ОПУБЛИКОВАНИЕ
Постановление Администрации Смоленской области от 26.02.2016 № 101
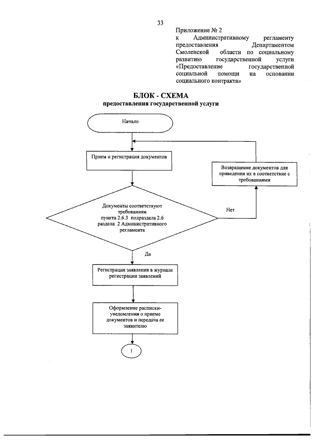
"Об утверждении Административного регламента предоставления Департаментом Смоленской области по социальному развитию государственной услуги "Предоставление государственной социальной помощи на основании социального контракта"
Номер опубликования: 6700201603020043
Дата опубликования: 02.03.2016
Страница №33 из 34:
Увеличить