Официальное опубликование правовых актов
ОФИЦИАЛЬНОЕ ОПУБЛИКОВАНИЕ
Постановление Администрации Смоленской области от 20.11.2015 № 733
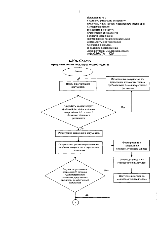
"О внесении изменений в Административный регламент предоставления Главным управлением ветеринарии Смоленской области государственной услуги "Регистрация специалистов в области ветеринарии, занимающихся предпринимательской деятельностью на территории Смоленской области"
Номер опубликования: 6700201511200015
Дата опубликования: 20.11.2015
Страница №6 из 7:
Увеличить